NIGELLA SATIVA: A COMPREHENSIVE REVIEW OF ITS PHARMACOLOGICAL AND THERAPEUTIC PROPERTIES
HTML Full TextNIGELLA SATIVA: A COMPREHENSIVE REVIEW OF ITS PHARMACOLOGICAL AND THERAPEUTIC PROPERTIES
Arun Shankhdhar *, Deeksha Sahai and Pushpendra Kannojia
BIU College of Pharmacy, Bareilly International University, Bareilly, Uttar Pradesh, India.
ABSTRACT: In ancient systems like Unani, Tibb, Ayurveda, and Siddha, Nigella sativa is a frequently utilized medicinal herb. Its oil and seeds have long been used in food and healing. N. sativa is suggested in Tibb-e-Nabwi (Prophetic Medicine) and is considered a key medicinal cure in Islamic literature. In addition to being used as analgesics, diuretics, and hunger stimulants, the seeds have been used to treat hypertension, liver ailments, digestive difficulties, diarrhea, and skin concerns. Numerous pharmacological actions, such as anticancer, antidiabetic, immunomodulatory, renal-protective, anti-inflammatory, antimicrobial, bronchodilator, spasmolytic, hepato-protective, gastro-protective, and antioxidant properties, are shown by scientific research. The main bioactive substance, thymoquinone, is responsible for the majority of therapeutic advantages. This review aims to provide a comprehensive survey of the pharmacognosy, chemical composition, and pharmacological properties of N. sativa seeds.
Keywords: Nigella sativa, Ranunculaceae, Thymoquinone, Therapeutic uses
INTRODUCTION: For ages, indigenous and traditional medical systems have utilized medicinal plants to treat a wide range of illnesses. They are often regarded as safer than contemporary allopathic medications and are essential to the manufacture of herbal remedies 1. Only a small number of plant species have had their pharmacological characteristics, modes of action, safety profiles, and toxicological features adequately examined despite their widespread usage. Black seed, or Nigella sativa (family Ranunculaceae), is one of these plants that has attracted a lot of interest because of its rich religious and historical heritage as well as its amazing medicinal potential.
Native to Southwest Asia, North Africa, and Southern Europe, it is extensively grown in the Middle East, the Mediterranean, India, Pakistan, Syria, Turkey, and Saudi Arabia 2. Nigella sativa's seeds and oil are widely used around the world to cure a broad range of illnesses, and they play a significant role in traditional Indian medical systems like Ayurveda and Unani. Black seed is highly prized in Islamic tradition and is included in Prophetic medicine (Tibb-e-Nabwi) as a cure for every illness, with the exception of death. Numerous pharmacological effects, such as diuretic, antihypertensive, antidiabetic, immunomodulatory, anti-inflammatory, gastro-protective, and hepatoprotective qualities, have been shown by scientific research 3, 4.
In addition to being a digestive stimulant, appetite enhancer, and lactation promoter, it is frequently used to treat ailments including asthma, bronchitis, diarrhea, rheumatism, skin diseases, and liver malfunction. Thymoquinone, the main bioactive component in its essential oil, is responsible for many of its medicinal benefits. Additionally, because of their unique flavor and low toxicity, black seeds are utilized as a flavoring in meals like bread and pickles.
Taxonomy:
- Kingdom: Plantae
- Clade: Angiosperms
- Clade: Eudicots
- Order: Ranunculales
- Family: Ranunculaceae
- Genus: Nigella
- Species: Nigella sativa
Vernacular (Common) Names:
- English: Black cumin, Black seed, Black caraway
- Hindi: Kalonji
- Urdu: Kalonji
- Arabic: Habbatul barakah / Habba Sawda
- Sanskrit: Upakunchika / Krishnajiraka
- Bengali: Kalo jeera
- Tamil: Karunjeeragam
Geographic Distribution, Collection & Cultivation: Originally from Western Asia and Eastern Europe, Nigella sativa is found across Southern Asia, the Middle East, Northern Africa, and Southern Europe. It is a versatile and robust crop due to its capacity to adapt to many soil types and climatic conditions. Naturally, it may be found in nations like Bulgaria, Romania, Cyprus, Turkey, Iran, and Iraq. It has expanded to portions of Europe, North Africa, and the Far East, including Myanmar. Its wide ecological flexibility is demonstrated by the fact that it is grown in several Indian states and flourishes in a variety of climates, from hot and humid to cold and dry. Nigella sativa is often produced as a rabi crop in India, where it is seeded in October or November and harvested in March or April, sometimes even in May or June in mountainous areas. Seeds are picked while the pods are somewhat green to avoid cracking and loss and to preserve the fragrant oil as best as possible 5, 6. To increase production, many harvests are frequently made. To preserve their flavor and potency after drying, the seeds are kept in sealed containers in cold, dark locations. The plant can withstand moderate to severe rains as long as the soil is not soggy, and it thrives in well-drained sandy or loamy soils with a pH of 7 to 7.5. It is appropriate for organic farming methods, where manure and organic fertilizers are frequently used to improve soil fertility and encourage sustainable production, due to its minimal water and care requirements.
Morphology of the Plant 7:
Habit: Nigella sativa is an annual, erect, herbaceous plant that typically grows to a height of about 20–60 cm. The plant is delicate in appearance with finely divided foliage and branched stems.
Root: It possesses a well-developed taproot system with lateral branches that help anchor the plant and absorb nutrients efficiently from well-drained soils.
Stem: The stem is erect, green, smooth, and highly branched. It is slender and may appear slightly angular. The branching pattern gives the plant a bushy appearance.
Leaves: Leaves are alternate, finely dissected, and linear to thread-like (filiform) in shape. They are pinnately or bipinnately divided into narrow segments, giving a feathery appearance.
Flowers: The flowers are solitary, terminal, and actinomorphic (radially symmetrical). They are usually pale blue, white, or light purple in color. The flower consists of 5–10 petal-like sepals, while the true petals are small and nectary in nature. Numerous stamens surround a multi-carpellary ovary.
Fruit: The fruit is a large, inflated capsule formed by the fusion of 3–7 follicles. It is green when immature and turns brown upon ripening. The capsule contains numerous seeds.
Seeds: Seeds are small, trigonous (triangular), black in color, and have a rough surface. They possess a characteristic aromatic odor and a slightly bitter, pungent taste due to the presence of volatile oil (mainly thymoquinone).
FIG. 1: N. SATIVA (WHOLE PLANT& FLOWER)
Chemical Composition of Nigella sativa: Both volatile and non-volatile oils, proteins, carbohydrates, minerals (such as iron, calcium, potassium, magnesium, zinc, and copper), vitamins A and C, and phytochemicals like sterol (such as β-sitosterol, campesterol, stigmasterol, and 5-avenasterol) and saponins, phenolic compounds, alkaloids, lipid constituents, and fatty acids (such as linoleic, linolenic, oleic, and stearic acids).
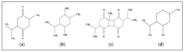
The composition of NS essential oils has been found to contain over forty different compounds with varying concentrations, including trans-anethole, p-cymene limonene, carvone, α-thujene, α-thujene, thymoquinone (TQ) Fig. 2A, thymohydroquinone (THQ) Fig. 2B, dithymoquinone (DTQ) Fig. 2C, thymol (THY) Fig. 2D, carvacrol, and β-pinene. The most significant component in these seeds is TQ.
Supercritical carbon dioxide may be used to produce NS seed oil at 40 °C and pressures ranging from 10 to 35 MPa 8. It was found that the extraction concentrated on polyunsaturated fatty acids appropriate for the food sector at higher pressures (35 MPa), whereas thymoquinone-rich fractions, perfect for health uses, were produced at lower pressures (10–15 MPa) 9. When extracting bioactive lipids from NS seeds, hexane can be substituted with 2-methyltetrahydrofuran (MeTHF), an eco-friendly solvent. MeTHF extraction was shown to yield more (34%) than the traditional hexane approach (29%). MeTHF improved the extraction of important phenolic compounds like thymol, and the oil extracted from NS was high in linoleic acid (61%) and oleic acid (19%) 10.
FIG. 2: STRUCTURES OF THE MAJOR BIOACTIVE CONSTITUENTS OF NIGELLA SATIVA: (a) thymoquinone, (b) thymohydroquinone, (c) dithymoquinone, and (d) thymol 8
Traditional uses of Folk Remedies: N. sativa has long been used to treat a wide range of illnesses and conditions related to the respiratory system, digestive tract, kidney and liver function, cardiovascular system, immune system support, and overall health 9–11. In "The Canon of Medicine," Avicenna alludes to black seeds because they boost vitality and aid in recuperation from exhaustion and depression. In Arabian and Indian tradition, black seeds and their oil have long been used as food and medicine 12. In Southeast Asian and Middle Eastern nations, the seeds have long been used to cure a variety of illnesses, including as rheumatism, bronchitis, asthma, and other inflammatory conditions. Nigella's numerous applications have given it the Arabic title "Habbatul barakah," which translates to "seed of blessing." Indigestion, appetite loss, diarrhea, dropsy, amenorrhea, dysmenorrhea, worms, and skin eruptions can all be treated using a tincture made from the seeds. The oil is used externally as a local anesthetic and antiseptic. Internal administration of roasted black seeds prevents vomiting 13.
Scientific Researches and Pharmacological Potentials: Numerous researchers conducted comprehensive studies on N. sativa using contemporary scientific methods since it is thought to be a magical plant that can treat a variety of illnesses and problems. Over the past few decades, N. sativa's pharmacological activities have been studied 14, 15.
TABLE 1: ANTIBACTERIAL ACTIVITY 16, 17
| S. no. | Study / Extract Tested | Test Organism(s) | Method / Concentration | Key Findings |
| 1 | Ground seeds of Nigella sativa | Staphylococcus aureus | Modified paper disc diffusion method; 300 mg/mL; distilled water as control; Azithromycin as positive control | Clear inhibition observed. Seeds from Hadramout showed higher inhibition than Ethiopian seeds. Activity attributed to thymoquinone (TQ) and melanin. |
| 2 | Crude extracts (alkaloid and aqueous extracts) of Nigella sativa | 16 Gram-negative and 6 Gram-positive bacterial isolates (multi-drug resistant strains) | Antimicrobial screening | Promising antibacterial activity observed. Crude alkaloid and aqueous extracts were most effective. Gram-negative bacteria were more susceptible than Gram-positive. |
| 3 | Ethanolic extract of Nigella sativa | Methicillin-resistant Staphylococcus aureus (MRSA) clinical isolates | 4 mg/disc; MIC range: 0.2–0.5 mg/mL | All tested MRSA strains were sensitive to the extract. |
| 4 | Nigella sativa seeds (clinical study) | Helicobacter pylori in non-ulcer dyspepsia patients | Compared with triple therapy | Demonstrated clinically useful anti-H. pylori activity comparable to standard triple therapy. |
| 5 | Thymoquinone (TQ) | 11 human pathogenic bacteria (especially Staphylococcus aureus ATCC 25923 and Staphylococcus epidermidis CIP 106510) | Antibacterial and biofilm inhibition assay | Significant bactericidal activity, particularly against Gram-positive cocci; inhibited bacterial adhesion to glass surfaces. |
TABLE 2: ANTI-SCHISTOSOMIASIS ACTIVITY 18, 19
| S. no. | Extract / Treatment | Test Organism / Model | Parameters Studied | Key Findings |
| 1 | NSO (Nigella sativa oil) alone and in combination with PZQ | Schistosoma mansoni-infected mice | Worm burden, ova count (liver & intestine), liver enzymes (ALT, GGT, AP), serum albumin | NSO alone reduced worm load and ova deposition. Combination with PZQ further reduced dead ova compared to PZQ alone. NSO partially corrected elevated ALT, GGT, AP and improved serum albumin levels, indicating hepatoprotective and anti-schistosomal effects. |
| 2 | Nigella sativa seeds (in vitro study) | Schistosoma mansoni (miracidia, cercariae, adult worms) | Biocidal activity, egg-laying inhibition, antioxidant and metabolic enzyme activity | Strong biocidal effect against all parasite stages; inhibited egg-laying. Induced oxidative stress in adult worms by decreasing SOD, glutathione peroxidase, glutathione reductase, hexokinase, and glucose-6-phosphate dehydrogenase activities. |
| 3 | AGE (Garlic extract) and NSO | Normal and Schistosoma mansoni-infected mice | Hematological, biochemical, and antioxidant parameters | AGE and NSO prevented most hematological and biochemical alterations and significantly improved antioxidant status in infected mice. Suggested as complementary agents to standard schistosomiasis treatment. |
TABLE 3: ANTI-INFLAMMATORY AND ANALGESIC ACTIVITY 20-23
| S. no. | Extract / Treatment | Model / Test System | Parameters Studied | Key Findings |
| 1 | Aqueous extract of N. sativa | Animal models | Anti-inflammatory, analgesic, antipyretic activities | Exhibited anti-inflammatory and analgesic effects but no antipyretic activity. |
| 2 | Alcoholic extracts of seeds and callus (TQ content) | Lipopolysaccharide-inflamed rat mixed glial cells | Nitric oxide production | Callus extract had 12× higher TQ than seed extract. Both extracts significantly reduced NO production (callus: 0.2–1.6 mg/mL; seeds: 1.25–20 µL/mL). |
| 3 | N. sativa and TQ | Osteoporosis models | Inflammatory cytokines (IL-1, IL-6), NF-κB | Inhibited inflammatory cytokines and transcription factor NF-κB; showed anti-osteoporotic potential. |
| 4 | TQ | Pancreatic ductal adenocarcinoma (PDA) cells | Pro-inflammatory cytokines (MCP-1, TNF-α, IL-1β, COX-2), HDAC activity, apoptosis | Dose- and time-dependent reduction of cytokines; increased p21 WAF1, inhibited HDAC, induced histone hyperacetylation. Combines anti-inflammatory and proapoptotic effects. |
| 5 | TQ | Mouse model of allergic airway inflammation | COX-1 expression, PGE2, PGD2, Th2 immune response | Slight inhibition of COX-1 and PGE2; reduced allergic lung inflammation via inhibition of PGD2 synthesis and Th2 response. |
| 6 | Methanol extracts (shoots, roots, seeds), hexane fraction | LPS-stimulated RAW 264.7 macrophages | Nitric oxide release | Seeds hexane fraction showed strong anti-inflammatory activity, IC50 = 6.20 µg/mL. |
| 7 | N. sativa oil (clinical trial) | Patients with allergic rhinitis (n=66, double-blind) | Nasal congestion, runny nose, itching, sneezing, turbinate hypertrophy, mucosal pallor | Reduced nasal symptoms significantly by day 15; supports use for allergic rhinitis when other drugs are unsuitable. |
TABLE 4: ANTIFUNGAL ACTIVITY 24, 25
| S. no. | Extract / Compound Tested | Test Organism(s) | Method / Model | Key Findings |
| 1 | Methanolic, chloroform, and aqueous extracts of Nigella sativa | Candida albicans | In-vitro antifungal assay | Methanolic extract showed strongest antifungal activity, followed by chloroform extract. Aqueous extract showed no activity. |
| 2 | Plant extract of Nigella sativa | Candida albicans (infected mice; liver, spleen, kidneys) | Intravenous inoculation in mice; post-treatment after 24 h | Significant reduction in fungal load: 5-fold (kidneys), 8-fold (liver), 11-fold (spleen). Confirmed by histopathology. |
| 3 | Ether extract and thymoquinone (TQ) of Nigella sativa | Dermatophytes: Trichophyton rubrum (4 spp.), Trichophyton interdigitale, T. mentagrophytes, Epidermophyton floccosum, M.canis | Agar diffusion method; serial dilutions | MIC (ether extract): 10–40 mg/mL; MIC (TQ): 0.125–0.250 mg/mL; Compared with griseofulvin (0.00095–0.01550 mg/mL). Supports use in fungal skin infections. |
| 4 | Quinones: Dithymoquinone, Thymohydroquinone, Thymoquinone (TQ) | Six dairy spoilage yeast species | Broth microdilution method; compared with calcium propionate, natamycin, potassium sorbate (pH 4.0 & 5.5) | Thymohydroquinone and TQ showed significant antiyeast activity. |
| 5 | Defensins (Ns-D1 and Ns-D2) isolated from Nigella sativa seeds | Various phytopathogenic fungi | Isolation and antifungal activity evaluation | Ns-D1 and Ns-D2 exhibited strong and diverse antifungal activity against several plant pathogenic fungi. |
TABLE 5: ANTIDIABETIC ACTIVITY 26-29
| S. no. | Extract / Treatment | Experimental Model | Parameters Evaluated | Key Findings |
| 1 | α-Lipoic acid (α-LA), L-carnitine, Nigella sativa, and combination | STZ-induced diabetic rats (65 mg/kg) | Fasting glucose, insulin, insulin sensitivity, HOMA, C-peptide, PDH activity | α-LA or N. sativa reduced blood glucose. Combination therapy significantly increased insulin and C-peptide, improving carbohydrate metabolism in diabetes. |
| 2 | N. sativa aqueous extract, oil, and Thymoquinone (TQ) | STZ-induced diabetic rats | Serum glucose, insulin, SOD, pancreatic MDA, ultrastructure | Reduced glucose and MDA; increased insulin and SOD. TQ showed strong protection of pancreatic β-cells and reduced oxidative stress. |
| 3 | Volatile oil of Nigella sativa | STZ-induced diabetic rats (50 mg/kg) | Insulin immunoreactivity, β-cell ultrastructure | Preserved β-cell integrity, increased insulin staining, reduced mitochondrial damage. |
| 4 | Thymoquinone (20, 40, 80 mg/kg for 45 days) | STZ–Nicotinamide-induced diabetic rats | Insulin, Hb, HbA1c, glucose, hepatic carbohydrate enzymes | Dose-dependent antihyperglycemic effect; 80 mg/kg restored enzyme activity and improved glycemic status. |
| 5 | Nigella sativa + Human parathyroid hormone | Insulin-dependent diabetic rats | Bone mass, connectivity, strength | Combination showed synergistic improvement in bone parameters compared to single treatments. |
| 6 | Nigella sativa oil (clinical study) | Patients with insulin resistance syndrome | Clinical & biochemical parameters | Effective as add-on therapy; improved diabetic and dyslipidemic parameters. |
| 7 | Nigella sativa (mechanistic observation) | Diabetic & glucose-intolerant subjects | Insulin secretion & intestinal glucose absorption | Enhanced glucose-induced insulin secretion and reduced intestinal glucose absorption. |
| 8 | Nigella sativa seeds (2 g/day) | Type 2 diabetic patients (adjuvant therapy) | Fasting glucose, 2 h postprandial glucose, HbA1c | Significant reduction in FBG, 2 hPG, HbA1c without change in body weight. |
| 9 | Nigella sativa seed ethanol extract (NSE) | Diabetic Meriones shawi | Glycemia, lipid profile, insulin, leptin, adiponectin, ACC phosphorylation, Glut4 | Normalized glycemia; improved insulin sensitivity via AMPK pathway and increased muscle Glut4 content. |
TABLE 6: CARDIOVASCULAR ACTIVITY 30
| S. no. | Compound / Treatment | Experimental Model | Parameters Studied | Key Findings |
| 1 | Thymoquinone (TQ) | Mice exposed to diesel exhaust particles (DEP) | Lung inflammation, lung function, leukocyte count, IL-6, systolic BP, SOD activity, platelet numbers, in-vivo thrombosis, in-vitro platelet aggregation | DEP induced lung inflammation (18 h), systemic inflammation, leucocytosis, increased IL-6, decreased BP, decreased SOD, reduced platelet counts, and aggravated thrombosis. Pretreatment with TQ prevented DEP-induced decrease in BP, leucocytosis, IL-6 changes, SOD activity, platelet loss, and thrombosis, but did not prevent platelet aggregation in-vitro. |
TABLE 7: IMMUNOMODULATORY ACTIVITY 31-32
| S. no. | Extract / Treatment | Experimental Model | Parameters Studied | Key Findings |
| 1 | Aqueous extract | BALB/c and C57BL/6 splenocytes, macrophages, NK cells | Splenocyte proliferation, Th1/Th2 cytokines, IL-6, TNF-α, NO, NK cytotoxicity | Enhanced splenocyte proliferation, favored Th2 cytokines, suppressed pro-inflammatory mediators, increased NK cytotoxic activity against YAC-1 tumor cells. |
| 2 | Methanolic extract | BALB/c mice | WBC count, bone marrow cellularity, spleen weight, resistance to Candida albicans | Increased WBC count (up to 1.2×10⁴ cells/mm³), bone marrow cellularity, spleen weight; restored resistance to lethal infection in immunosuppressed mice. |
| 3 | Volatile oil of seeds | Long-Evans rats | Antibody production, splenocyte, neutrophil, lymphocyte, monocyte counts | Decreased antibody response (~2-fold), decreased splenocyte and neutrophil counts, increased peripheral lymphocytes and monocytes; potential immunosuppressive cytotoxic activity. |
| 4 | Black seed co-administered with oxytetracycline | Pigeons | Leukocyte and lymphocyte counts, H:L ratio, lysosomal activity, RES function | Completely blocked immunosuppressive effects of oxytetracycline and produced immunostimulant effects. |
| 5 | Thymoquinone (TQ) | EAE mice (model of multiple sclerosis) | Disease prevention and cure | ~90% preventive and 50% curative in chronic relapsing EAE via antioxidant effects. |
| 6 | N. sativa oil | Rats exposed to whole-body gamma irradiation | Hemolysin antibody titers, oxidative stress | Significantly reversed immunosuppressive and oxidative effects; radioprotective. |
| 7 | Aqueous extract | Ovalbumin-sensitized guinea pigs | Lung pathology, IL-4, IFN-γ | Reduced lung inflammation and pathology; increased IFN-γ, confirming preventive effect on airway inflammation. |
TABLE 8: GASTRO-PROTECTIVE ACTIVITY 33-34
| S. no. | Extract / Treatment | Experimental Model | Parameters Studied | Key Findings |
| 1 | Thymoquinone (TQ) | Rats, pyloric ligation + ischemia/reperfusion | Gastric acid secretion, acid output, pepsin, lipid peroxides, proton pump, myeloperoxidase, ulcer index, gastric mucin, GSH, NO, SOD | TQ (10–20 mg/kg) reduced acid secretion, pepsin, proton pump activity, neutrophil infiltration, lipid peroxidation, and ulcer index; increased mucin, GSH, NO, and SOD. Low-dose combinations additive to high dose effect. Mechanism: antioxidant + inhibition of acid secretion + enhanced mucin and NO. |
| 2 | Aqueous suspension of N. sativa seeds | Wistar albino rats, chemically induced ulcers (ethanol, NaOH, NaCl, indomethacin) and pylorus ligation | Ulcer formation/severity, basal gastric secretion, gastric wall mucus, non-protein sulfhydryl (NP-SH), histopathology | Significantly prevented ulcer formation, reduced ulcer severity and basal acid secretion, replenished mucus and NP-SH levels. Effect possibly mediated by prostaglandins, antioxidant, and anti-secretory activities. |
TABLE 9: HEPATO-PROTECTIVE ACTIVITY 35-37
| S. no. | Extract / Treatment | Experimental Model | Parameters Studied | Key Findings |
| 1 | N. sativa (0.2 mL/kg, i.p.) | Rats, hepatic ischemia-reperfusion injury | Serum AST, ALT, LDH; hepatic TAC, CAT, TOS, OSI, MPO | Protected liver from ischemia-reperfusion injury; improved antioxidant status and reduced oxidative stress markers. |
| 2 | N. sativa administration | Rats exposed to toxic metals (lead) or chemicals (CCl₄) | Hepatic lipid peroxidation | Attenuated liver damage and lipid peroxidation induced by toxic metals or chemical hepatotoxins. |
| 3 | Thymoquinone (TQ, 10 µmol/L) | Swiss albino mice liver (in-vitro) treated with CdCl₂ (5 mmol/L) | Nonenzymatic and enzymatic antioxidants, protein carbonyl, reduced glutathione | Pretreatment with TQ prevented protein oxidation, restored depleted antioxidants, and protected against cadmium-induced hepatotoxicity. |
TABLE 10: TOXICOLOGICAL STUDIES 38-40
| S. no. | Extract / Treatment | Experimental Model | Parameters Studied | Key Findings |
| 1 | N. sativa fixed oil | Mice (acute study, oral), Rats (chronic study, oral, 3 months) | Key hepatic enzymes (AST, ALT, GGT), histopathology of heart, liver, kidney, pancreas | No toxic effects observed; normal enzyme levels and tissue histology; demonstrates wide safety margin. |
| 2 | N. sativa fixed oil | Mice, single doses orally and intraperitoneally | LD50 | Oral LD50: 26.2–31.6 g/kg; i.p. LD50: 1.86–2.26 g/kg; indicates low toxicity and high therapeutic safety. |
| 3 | Thymoquinone (TQ) | Mice | LD50 (i.p. and oral) | LD50: 104.7 mg/kg i.p., 870.9 mg/kg oral; 10–15× and 100–150× higher than therapeutic doses. |
| 4 | Thymoquinone (TQ) | Rats | LD50 (i.p. and oral) | LD50: 57.5 mg/kg i.p., 794.3 mg/kg oral; confirms relative safety, especially via oral administration. |
Cosmeceutical Application of Nigella sativa: The aromatic components of Nigella sativa seeds were shown to have potential use in cosmetic formulations in 2011. Because of their natural components, the seeds are beneficial for skin care and fragrance applications. N. sativa seed oil has a sun protection factor (SPF) value more than 2, which indicates a moderate degree of UV protection, according to additional study. Consequently, the oil can be used to cosmetics as a natural ingredient with potential skin-care and preventive properties Table 11.
TABLE 11: SOME COMMERCIAL PRODUCTS CONTAINING NIGELLA SATIVA EXTRACT 41-42
| Name of Product | Company | Use | Dosage/Form |
| Al Barakah | Shiffa Home | Increasing immunity and maintaining good health | Soft gelatin capsule |
| Black Seed Cream | Hemani | Helps in relaxation | Cream |
| Black seed Soap | Hemani | Body soap cleaner | Soap |
| Immuno-Viva Core | Immuno-Viva | Natural antioxidant supplement | Capsule and liquid form |
| Nigella sativa Cream | Bergmeister | Skin cream | Cream |
| Vatika Naturals Black Seed Enriched Hair Oil Complete Hair Care | Vatika Nature | Complete hair care, improved shine, texture, and volume, and reduced hair problems | Oil |
| Vatika Black Seed Hair Mask | Vatika Nature | Hair mask | Cream |
| Vatika Black Seed Shampoo | Vatika Nature | Strong and shiny hair | Shampoo |
CONCLUSION: The use of herbal medicines as supplemental remedies is widespread, and their appeal is only increasing on a global scale. Nigella sativa has shown exceptional pharmacological potential among them. According to research, its seeds, oil, extracts, and active ingredients especially alpha-hederin and thymoquinone (TQ) show notable in-vitro and in-vivo effectiveness against a range of disorders while being comparatively harmless.
These results demonstrate N. sativa's potential as a treatment for diseases linked to oxidative stress, metabolism, inflammation, and infections. To clarify the exact molecular pathways behind its actions, more research is required. TQ, alpha-hederin, and other bioactive components might be chemically modified to provide safer and more effective medications.
Combining components of N. sativa with already used chemotherapeutic drugs may also improve efficacy and aid in overcoming drug resistance. To optimize N. sativa's medicinal potential, future studies should concentrate on its cellular and molecular targets. The purpose of this review is to assist researchers in their preclinical and clinical studies of this miraculous plant.
ACKNOWLEDGEMENT: Nil
CONFLICT OF INTEREST: Nil
REFERENCES:
- Khare CP: Encyclopedia of Indian medicinal plants. NewYork: Springes-Verlag Berlin Heidelberg 2004.
- Sharma PC, Yelne MB and Dennis TJ: Database on medicinal plants used in Ayurveda. New Delhi 2005; 420-440.
- Al-Bukhari MI: In: the collection of authentic sayings of prophet mohammad (peace be upon him), division 71 on medicine. 2nd ed. Al-Bukhari Sahi., editor. Ankara: Hilal Yayinlari 1976.
- Abel-Salam BK: Immunomodulatory effects of black seeds and garlic on alloxan-induced diabetes in albino rat. Allergol Immunopathol (Madr) 2012; 40(6): 336–340. doi: 10.1016/j.aller.2011.07.002.
- El Mezayen R, El Gazzar M, Nicolls MR, Marecki JC, Dreskin SC and Nomiyama H: Effect of thymoquinone on cyclooxygenase expression and prostaglandin production in a mouse model of allergic airway inflammation. Immunol Lett 2006; 106(1): 72–81. doi: 10.1016/j.imlet.2006.04.012.
- Pichette A, Marzouk B and Legault J: Antioxidant, anti-inflammatory, anticancer and antibacterial activities of extracts from Nigella sativa (black cumin) plant parts. J Food Biochem 2012; 36(5): 539–546.
- Nikakhlagh S, Rahim F, Aryani FH, Syahpoush A, Brougerdnya MG and Saki N: Herbal treatment of allergic rhinitis: the use of Nigella sativa. Am J Otolaryngol 2011; 32(5): 402–407. doi: 10.1016/j.amjoto.2010.07.019.
- Majdalawieh AF, Hmaidan R and Carr RI: Nigella sativa modulates splenocyte proliferation, Th1/Th2 cytokine profile, macrophage function and NK anti-tumor activity. J Ethnopharmacol 2010; 131(2): 268–275. doi: 10.1016/j.jep.2010.06.030.
- Ghonime M, Eldomany R, Abdelaziz A and Soliman H: Evaluation of immunomodulatory effect of three herbal plants growing in Egypt. Immunopharmacol Immunotoxicol 2011; 33(1): 141–145. doi: 10.3109/08923973.2010.487490.
- Mohamed A, Waris HM, Ramadan H, Quereshi M and Kalra J: Amelioration of chronic relapsing experimental autoimmune encephalomyelitis (CR-EAE) using thymoquinone-biomed 2009. Biomed Sci Instrum 2009; 45: 274–279.
- Boskabady MH, Keyhanmanesh R, Khameneh S, Doostdar Y and Khakzad MR: Potential immunomodulation effect of the extract of Nigella sativa on ovalbumin sensitized guinea pigs. J Zhejiang Univ Sci B 2011; 12(3): 201–209. doi: 10.1631/jzus.B1000163.
- Duncker SC, Philippe D, Martin-Paschoud C, Moser M, Mercenier A and Nutten S: Nigella sativa (Black Cumin) seed extract alleviates symptoms of allergic diarrhea in mice, involving opioid receptors. PLoS One 2012; 7(6): 39841. doi: 10.1371/journal.pone.0039841.
- Nemmar A, Al-Salam S, Zia S, Marzouqi F, Al-Dhaheri A and Subramaniyan D: Contrasting actions of diesel exhaust particles on the pulmonary and cardiovascular systems and the effects of thymoquinone. Br J Pharmacol 2011; 164(7): 1871–1882. doi: 10.1111/j.1476-5381.2011.01442.x.
- Hadjzadeh MA, Keshavarzi Z, Yazdi TSA, Ghasem SM, Rajaei Z and Khajavi Rad A: Effect of alcoholic extract of Nigella sativa on cisplatin-induced toxicity in rat. Iran J Kidney Dis 2012; 6(2): 99–104.
- Boskabady MH, Javan H, Sajady M and Rakhshandeh H: The possible prophylactic effect of Nigella sativa seed extract in asthmatic patients. Fundam Clin Pharmacol 2007; 21(5): 559–566. doi: 10.1111/j.1472-8206.2007.00509.x.
- Bakathir HA and Abbas NA: Detection of the antibacterial effect of Nigella sativa ground seeds with water. Afr J Tradit Compl Altern Med 2011; 8(2): 159–164. doi: 10.4314/ajtcam.v8i2.63203.
- Morsi NM: Antimicrobial effect of crude extracts of Nigella sativa on multiple antibiotics-resistant bacteria. Acta Microbiol Pol 2000; 49(1): 63–74.
- Mahmoud MR, El-Abhar HS and Saleh S: The effect of Nigella sativa oil against the liver damage induced by Schistosoma mansoni infection in mice. J Ethnopharmacol 2002; 79(1): 1–11. doi: 10.1016/s0378-8741(01)00310-5.
- El Shenawy NS, Soliman MF and Reyad SI: The effect of antioxidant properties of aqueous garlic extract and Nigella sativa as anti-schistosomiasis agents in mice. Rev Inst Med Trop Sao Paulo 2008; 50(1): 29–36. doi: 10.1590/s0036-46652008000100007.
- Alemi M, Sabouni F, Sanjarian F, Haghbeen K and Ansari S: Anti-inflammatory effect of seeds and callus of Nigella sativa L. extracts on mix glial cells with regard to their thymoquinone content. AAPS Pharm Sci Tech 2012; doi: 10.1208/s12249-012-9899-8.
- Shuid AN, Mohamed N, Mohamed IN, Othman F, Suhaimi F and Mohd Ramli ES: Nigella sativa: A potential antiosteoporotic agent. Evid Based Compl Altern Med 2012; 2012: 696230. doi: 10.1155/2012/696230.
- Chehl N, Chipitsyna G, Gong Q, Yeo CJ and Arafat HA: Anti-inflammatory effects of the Nigella sativa seed extract, thymoquinone, in pancreatic cancer cells. HPB (Oxford) 2009; 11(5): 373–381. doi: 10.1111/j.1477-2574.2009.00059.x.
- El Mezayen R, El Gazzar M, Nicolls MR, Marecki JC, Dreskin SC and Nomiyama H: Effect of thymoquinone on cyclooxygenase expression and prostaglandin production in a mouse model of allergic airway inflammation. Immunol Lett 2006; 106(1): 72–81.
- Bita A, Rosu AF, Calina D, Rosu L, Zlatian O and Dindere C: An alternative treatment for Candida infections with Nigella sativa extracts. Eur J Hosp Pharm 2012; 19: 162.
- Halamova K, Kokoska L, Flesar J, Sklenickova O, Svobodova B and Marsik P: In-vitro antifungal effect of black cumin seed quinones against dairy spoilage yeasts at different acidity levels. J Food Prot 2010; 73(12): 2291–2295. doi: 10.4315/0362-028x-73.12.2291.
- Salama RH: Hypoglycemic effect of lipoic acid, carnitine and Nigella sativa in diabetic rat model. Int J Health Sci (Qassim) 2011; 5(2): 126–134.
- Abdelmeguid NE, Fakhoury R, Kamal SM and Al Wafai RJ: Effects of Nigella sativa and thymoquinone on biochemical and subcellular changes in pancreatic β-cells of streptozotocin-induced diabetic rats. J Diabetes 2010; 2(4): 256–266. doi: 10.1111/j.1753-0407.2010.00091.x.
- Kanter M, Akpolat M and Aktas C: Protective effects of the volatile oil of Nigella sativa seeds on beta-cell damage in streptozotocin-induced diabetic rats: a light and electron microscopic study. J Mol Histol 2009; 40(5–6): 379–385. doi: 10.1007/s10735-009-9251-0.
- Pari L and Sankaranarayanan C: Beneficial effects of thymoquinone on hepatic key enzymes in streptozotocin-nicotinamide induced diabetic rats. Life Sci 2009; 85(23–26): 830–834. doi: 10.1016/j.lfs.2009.10.021.
- Nemmar A, Al-Salam S, Zia S, Marzouqi F, Al-Dhaheri A and Subramaniyan D: Contrasting actions of diesel exhaust particles on the pulmonary and cardiovascular systems and the effects of thymoquinone. Br J Pharmacol 2011; 164(7): 1871–1882. doi: 10.1111/j.1476-5381.2011.01442.x.
- Majdalawieh AF, Hmaidan R and Carr RI: Nigella sativa modulates splenocyte proliferation, Th1/Th2 cytokine profile, macrophage function and NK anti-tumor activity. J Ethnopharmacol 2010; 131(2): 268–275. doi: 10.1016/j.jep.2010.06.030.
- Ghonime M, Eldomany R, Abdelaziz A and Soliman H: Evaluation of immunomodulatory effect of three herbal plants growing in Egypt. Immunopharmacol Immunotoxicol 2011; 33(1): 141–145. doi: 10.3109/08923973.2010.487490.
- Mohamed A, Waris HM, Ramadan H, Quereshi M and Kalra J: Amelioration of chronic relapsing experimental autoimmune encephalomyelitis (CR-EAE) using thymoquinone-biomed 2009. Biomed Sci Instrum 2009; 45: 274–279.
- Al Mofleh IA, Alhaider AA, Mossa JS, Al-Sohaibani MO, Al-Yahya MA and Rafatullah S: Gastroprotective effect of an aqueous suspension of black cumin Nigella sativa on necrotizing agents-induced gastric injury in experimental animals. Saudi J Gastroenterol 2008; 14(3): 128–134. doi: 10.4103/1319-3767.41731.
- Tayman C, Cekmez F, Kafa IM, Canpolat FE, Cetinkaya M and Uysal S: Beneficial effects of Nigella sativa oil on intestinal damage in necrotizing enterocolitis. J Invest Surg 2012; 25(5): 286–294. doi: 10.3109/08941939.2011.639849.
- Yildiz F, Coban S, Terzi A, Ates M, Aksoy N and Cakir H: Nigella sativa relieves the deleterious effects of ischemia reperfusion injury on liver. World J Gastroenterol 2008; 14(33): 5204–5209. doi: 10.3748/wjg.14.5204.
- Zafeer MF, Waseem M, Chaudhary S, Parvez S. Cadmium-induced hepatotoxicity and its abrogation by thymoquinone. J Biochem Mol Toxicol 2012; 26(5): 199–205. doi: 10.1002/jbt.21402.
- Aqel M and Shaheen R: Effects of the volatile oil of Nigella sativa seeds on the uterine smooth muscle of rat and guinea pig. J Ethnopharm 1996; 52(1): 23–26. doi: 10.1016/0378-8741(95)01330-x.
- Zaoui A, Cherrah Y, Mahassini N, Alaoui K, Amarouch H and Hassar M: Acute and chronic toxicity of Nigella sativa fixed oil. Phytomedicine 2002; 9(1): 69–74. doi: 10.1078/0944-7113-00084.
- Khader M, Bresgen N and Eckl PM: In-vitro toxicological properties of thymoquinone. Food Chem Toxicol 2009; 47(1): 129–133. doi: 10.1016/j.fct.2008.10.019.
- Burits M and Bucar F: Antioxidant activity of Nigella sativa essential oil. Phytotherapy Research 2000; 14(5): 323–328. doi: 10.1002/1099-1573(200008)14:5<323::AID-PTR621>3.0.CO;2-Q.
- Kale S, Ghoge P, Ansari A, Waje A and Sonawane A: Formulation and in-vitro determination of sun protection factor of Nigella sativa Linn. seed oil sunscreen cream. Inter J of Pharm Tech Research 2010; 2(4): 2194–2197.
How to cite this article:
Shankhdhar A, Sahai D and Kannojia P: Nigella sativa: a comprehensive review of its pharmacological and therapeutic properties. Int J Pharmacognosy 2026; 13(3): 184-93. doi link: http://dx.doi.org/10.13040/IJPSR.0975-8232.IJP.13(3).184-93.
This Journal licensed under a Creative Commons Attribution-Non-commercial-Share Alike 3.0 Unported License.
Article Information
5
184-193
840 KB
139
English
IJP
Arun Shankhdhar *, Deeksha Sahai and Pushpendra Kannojia
BIU College of Pharmacy, Bareilly International University, Bareilly, Uttar Pradesh, India.
arunsharma12689@gmail.com
28 February 2026
18 March 2026
20 March 2026
10.13040/IJPSR.0975-8232.IJP.13(3).184-93
31 March 2026




